
Ρυθμίσεις για τα τέλη κυκλοφορίας των επιβατικών οχημάτων
1. Οι υποπεριπτώσεις α ́ και β ́ της περίπτωσης Α ́ της παρ. 1 του άρθρου 20 του Ν. 2948/2001 (Α ́242), όπως
ισχύει, αντικαθίστανται ως εξής:
«Α. Αυτοκίνητα οχήματα ιδιωτικής χρήσης
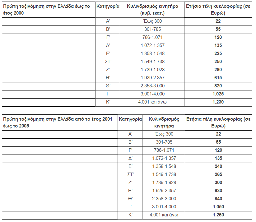
α) Επιβατικά αυτοκίνητα που έχουν ταξινομηθεί για πρώτη φορά στην Ελλάδα έως τις 31.10.2010 και δίκυκλες και τρίκυκλες μοτοσικλέτες ανεξαρτήτως της ημερομηνίας πρώτης ταξινόμησής τους στην Ελλάδα, με βάση τον κυλινδρισμό του κινητήρα αυτών, ως εξής:


β) Επιβατικά αυτοκίνητα ταξινομούμενα για πρώτη φορά στην Ελλάδα από 1.11.2010 και μετά, αποκλειστικά με βάση τις εκπομπές διοξειδίου του άνθρακα (γραμμάρια C02 ανα χιλιόμετρο). Λαμβάνονται υπόψη οι εκπομπές διοξειδίου του άνθρακα, όπως αυτές αναγράφονται στην άδεια του οχήματος, ως εξής:

Στα ανωτέρω αυτοκίνητα περιλαμβάνονται και τα επιβατικά ιδιωτικής χρήσης αυτοκίνητα, που εισάγονται από το αλλοδαπό προσωπικό των εμποροβιομηχανικών επιχειρήσεων των εγκατεστημένων στην Ελλάδα με βάση των α.ν. 89/1967 (Α’ 132).
Επίσης περιλαμβάνονται και τα τύπου Jeep αυτοκίνητα, ανεξάρτητα από το χαρακτηρισμό τους ως επιβατικών ή φορτηγών.»
2. Το δεύτερο εδάφιο της υποπερίπτωσης ζ’ της περίπτωσης Α’ της παραγράφου 1 του άρθρου 35 του ν. 3986/2011 (Α’ 152), αντικαθίσταται, ως εξής:
«Ειδικά, υβριδικά αυτοκίνητα οχήματα και υβριδικές δίκυκλες και τρίκυκλες μοτοσικλέτες, που εμπίπτουν στις διατάξεις του προηγούμενου εδαφίου, έως 1549 κ.εκ., ανεξάρτητα από την ημερομηνία της πρώτης ταξινόμησής τους στην Ελλάδα, απαλλάσσονται των τελών κυκλοφορίας. Για τα οχήματα της κατηγορίας αυτής από 1549 κ.εκ. και άνω, τα τέλη κυκλοφορίας που επιβάλλονται αναλογούν στο 60% των τελών των αντίστοιχων συμβατικών οχημάτων»
3. Η παράγραφος 2 του άρθρου 35 του ν. 3986/2011 (Α’ 152), τροποποιείται, ως εξής: Στο πρώτο και στο δεύτερο εδάφιο της παραγράφου 2 του άρθρου 35 του ν. 3986/2011 (Α’ 152) οι λέξεις:
«ιδιωτικής και» διαγράφονται. Στο τέλος του δεύτερου εδαφίου της παράγραφου 2 του άρθρου 35 του ν. 3986/2011 (Α’ 152), προστίθενται δύο νέα εδάφια, ως εξής: «Τα υβριδικά επιβατικά αυτοκίνητα ιδιωτικής χρήσης, κυλινδρισμού κινητήρα έως 1.549 κ.εκ., που έχουν ταξινομηθεί στην Ελλάδα για πρώτη φορά έως την 31.10.2010, απαλλάσσονται των τελών κυκλοφορίας. Για τα υβριδικά επιβατικά αυτοκίνητα ιδιωτικής χρήσης κυλινδρισμού κινητήρα από 1.549 κ.εκ. και άνω, που έχουν ταξινομηθεί στην Ελλάδα για πρώτη φορά έως την 31.10.2010, τα Τέλη κυκλοφορίας που επιβάλλονται αναλογούν στο 60% των τελών των αντίστοιχων συμβατικών οχημάτων».
Στο έκτο και στο έβδομο εδάφιο της παραγράφου 2 του άρθρου 35 του ν. 3986/2011 (Α’ 152) οι λέξεις: «ιδιωτικής και» διαγράφονται. Στο τέλος του έβδομου εδαφίου της παράγραφου 2 του άρθρου 35 του ν. 3986/2011 (Α’ 152), προστίθενται δύο νέα εδάφια ως εξής: «Οι υβριδικές δίκυκλες και τρίκυκλες μοτοσικλέτες ιδιωτικής χρήσης, κυλινδρισμού κινητήρα έως 1.549 κ.εκ., ανεξάρτητα από την ημερομηνία της πρώτης ταξινόμησης τους στην Ελλάδα, απαλλάσσονται των τελών κυκλοφορίας. Για τις υβριδικές δίκυκλες και τρίκυκλες μοτοσικλέτες ιδιωτικής χρήσης, κυλινδρισμού κινητήρα από 1.549 κ.εκ. και άνω, ανεξάρτητα από την ημερομηνία της πρώτης ταξινόμησης τους στην Ελλάδα, τα Τέλη κυκλοφορίας που επιβάλλονται αναλογούν στο 60% των τελών των αντίστοιχων συμβατικών οχημάτων.».
Πηγή: Οδηγός του πολίτη
Σχόλια

Την παραίτησή του από CEO και Αντιπρόεδρος της Ιντερσαλόνικα υπέβαλε ο Κ. Γιαννιώτης
Generali: Στα €617,5 εκατ. ασφάλιστρα & στους top 3 της αγοράς
17 στελέχη της ασφαλιστικής αγοράς στο Delphi Forum (updated)
Ο ασφαλιστικός κλάδος χάνει τη μεγαλύτερη ευκαιρία του στο LinkedIn
Νόμος 5290: Τι αλλάζει στις υπηρεσίες οδικής βοήθειας
Η ενημέρωση που κάνει τη διαφορά
Αναλύσεις, εξελίξεις και αποκλειστικά νέα της ασφαλιστικής αγοράς, κάθε μέρα στο inbox σας.
Σχετικά Άρθρα

Μέχρι την Τετάρτη η πληρωμή των τελών κυκλοφορίας

2.000 ποδηλάτες ετησίως χάνουν τη ζωή τους

ΑΑΔΕ: Τι πρέπει να ξέρετε για τα αναλογικά τέλη στα αυτοκίνητα

Ύστατη προσπάθεια κατά των ανασφάλιστων οδηγών

Αυξημένα μέτρα της τροχαίας το καλοκαίρι: Στο στόχαστρο παραβάσεις του ΚΟΚ και ανασφάλιστα

Τι δείχνει ο πίνακας του Δ. Ζορμπά για το αναγκαίο τεχνικό ασφάλιστρο στον κλάδο αυτοκινήτου

Τι αλλάζει στις εταιρείες οδικής βοήθειας λόγω COVID-19

















